Statisticile arată clar: în anii electorali, unele comune devin magnet pentru flotanți! De la câteva zeci sau doar câteva persoane, în anii fără alegeri, la câteva zeci și chiar sute, în anii cu alegeri locale. Datele arată că marea majoritate a primarilor jenanți campioni la atragerea flotanților electorali aparțin de PSD. Poliția a întocmit deja 48 de dosare de cercetare pentru cei suspectați de fals în declarații, iar prefectul a subliniat anomalia acestui fenomen.
În șase comune din Bihor, numărul flotanților a depășit 10% în acest an, raportat la populația stabilă. Cinci sunt conduse de primari PSD.
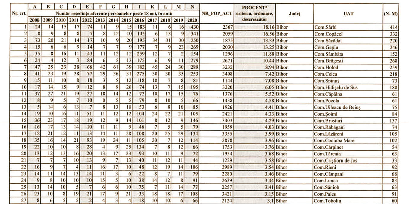
Sârbi, Copăcel, Săcădat…
JURNAL BIHOREAN & BIHON.RO a reușit să intre în posesia datelor, pentru fiecare primărie din județul Bihor. Vă prezentăm locurile unde primarii și primăriile nu au nicio jenă să accepte un flux uriaș de flotanți.
La Sârbi (primar PSD), numărul flotanților a ajuns la 18,16% din populația stabilă a comunei! Aici, în 2020 s-au înregistrat 430 de flotanți, după ce în anii precedenți, neelectorali, numărul acestora a fost nesemnificativ: 11 în 2017, 6 în 2018 și 16 în 2019. În anul electoral 2016 fuseseră 183, în anii neelectorali 2013, 2014 și 2015 doar 11, 9 și 15, în condițiile în care în anul electoral 2012 s-au înregistrat 74.
Copăcel (PNL) are acum flotanți în procent de 16,56%. Și aici, se poate ușor observa cum, în ciclurile electorale precedente, numărul flotanților a crescut de la câteva zeci, în ani neelectorali, la câteva sute, în anii electorali.
[eadvert]
Fluctuația pur electorală a numărului de flotanți se respectă în toate comunele unde procentul a atins azi cote alarmante. La Săcădat, Gepiu, Sâmbăta și Drăgești, toate conduse de PSD, procentul de flotanți este situat între 10,4%, la Drăgești și 13,3%, la Săcădat.
Între 9% și 5,5% ca număr de flotanți electorali raportat la populația totală se regăsesc localitățile Holod (PSD), Ceica (PSD), Spinuș (PNL), Hidișelu de Sus (PNL) și Căpâlna (PSD). Urmează 27 de comune cu procent de flotanți între 5% și 2%. Și aici, graficele arată că flotanții sunt mult mai activi în anii electorali, decât în anii neelectorali, însă diferențele sunt estompate. Este vorba despre 18 comune PNL, șapte comune PSD și două UDMR. Iată-le: Pocola, Uileacu de Beiuș (ambele PSD), Șoimi (PNL), Brusturi (PSD), Răbăgani, Lăzăreni, Cociuba Mare (toate PNL), Cărpinet, Tărcaia (ambele PSD), Criștioru de Jos, Rieni (ambele PNL), Câmpani (PSD), Lunca, Sâniob (ambele PNL), Paleu (UDMR), Toboliu, Sânnicolau Român, Roșia, Buntești, Lazuri de Beiuș, Tinca (toate PNL), Drăgănești (PSD), Tulca, Șuncuiuș (ambele PNL), Chișlaz (UDMR), Abram și Pomezeu (ambele PNL).
Cei cuminți
Între 2% și 1% se regăsesc câte opt comune PNL și PSD, respectiv UDMR, aici diferențele estompându-se vizibil, între anii electorali și cei neelectorali.
Cei mai „cuminți” primari, cu sub 1% flotanți, sunt cei din Șimian, Curtuișeni, Tarcea, Finiș, Biharia, Batăr, Aștileu, Șinteu, Buduslău, Vârciorog, Roșiori, Boianu Mare, Aușeu, Remetea, Tămășeu, Tileagd, Curățele, Ciumeghiu, Olcea, Oșorhei, Sântandrei, Tăuteu, Viișoara, Vadu Crișului, Țețchea, Abrămuț, Pietroasa. Semn că aici bătăliile electorale sunt plăpânde sau chiar inexistente, dovadă și numărul mare de comune UDMR, acolo unde celelalte partide nu au candidați sau nu au șanse să preia conducerea în localitatea respectivă.
Poliția, la “vânătoare” de flotanți. Numărul flotanților a explodat, în preajma alegerilor locale
Trimite articolul
XSi ce consecinte va avea pt primarii escroci astfel alesi?
De unde știți că primarul PSD de la sârbi a adus pentru el flotanți?
-
Primarul din sarbi e cel mai corect cetatean din sat, saracu
-
Nu !
Nu i-a adusptr.el !
Ci ptr. partid!
Sa nu piarda Mang presedentia Consiliului Judetean , sa ii puna piedica lui Bolojan.
Ca daca pierde Manga, poate pleca in pensie de maine dimineata.
Iar cetateanul model de la Sarbi cred ca era in stare sa aduca la votare pe liste suplinentare si copii tuturor familiilor de pocaiti penticostali plecati in America, Austria, Canada, Anglia, Spania, Italia, Germania.
Si proaspetii nascuti nebotezati inca de pastori .
Doar sa stie ca Partidu’ nu pierde puterea in judet .
Ca asa ramane si el vesnic in comuna primar.
Ma lasi cu modelul ala de om , de primar ?
Ptr.cine e model ?
Ptr.cei ca el ?-
Nu stiu daca vorbesti serios dar eu eram sarcastic
Dar primarul nu i penticostal si oricum neoprotestantii voteaza in principal partide de dreapta -
Auzi Decretel, celalalt candidat era mai bun model? Barabtu care si-a inselat nevasta si a desparit o fam cu 8 copii?
Din surse sigure stiu ca si el si-a adus flotanti,printre care si patronul care detine H.Continental,mag. Crisu… asa ca nici asta nu e mai bun !! Oricum acest primar se vede ca a facut multe, poti sa mergi sa vezi cu ochii tai
-
-
Asta e primarul model din Sarbi , domnilor !!
La Sârbi prezenta la vot 91% !!
1303 votanți pe liste permanente
454 votanți pe liste suplimentare
26 votanți cu urna mobilă
Adica domn primar model a adus 454 de bucati sa voteze pe liste suplimentare intr-o comuna care are de trei ori atata populatie probabil .
Astia erau in vacanta , erau turisti care s-au indragostit de frumoasele locuri , de ciurda din sat , de pamanturile multe dintre ele nelucrate din terenurile comunei .
Si in urma cu vreo 3 – 4 saptamani au solicitat sa ramana ptr. o vreme cu statut de flotant pe frumoasele plaiuri ale Sarbilor de Bihor !
Iar domn primar – model , impreuna cu politia locala si-au dat binemeritatul accept .
Si le-au acordat viza de flotant la astia toti .
Banuiesc ca astia cu flotant au fost “domiciliati” pe la adresele oamenilor de incredere din comuna , sa se bucure de ospitalitatea locuitorilor .
Ca si asa erau casa in care locuiau cate o vaduca sau un vaduv , iar flotantii prind bine cand mai ajuta la treburile gospodariei , nu ??
Mai mulg vaca . Asta daca nu o confunda cu vreun taur , la ce pregatire si experienta au !
Desi ma indoiesc sa mai fie taur in sat la careva .
Ca toti cumpara laptele de la …. bold !!
Daca nu , poate scot cartofii sau culeg viile , ca e vremea recoltarii strugurilor . Sau ajuta la facutul palincii ca acum duduie cazanele la greu . Iar la Sarbi pocaitii fac palinca si o vand , ei nu o beau !
Asa declara .
Mai da’ cat de prosti ne puteti crede ?
Chiar asa considerati ca toti ne-am batut si ne-am stropit cu cerneala in scoala si nu ne-a mai ramas si de scris ?
Vai de el , model de primar !
Si de voi , cei care-l votati si-l sustineti . Ca se pare ca sunteti pupcuristi .
Si va meritati .
Primarul pe voi si voi pe el .
Banuiesc ca e PSD .
-
Iar situatia prezentata cu procentul de 91 % prezenta la vot era la ora 19.00 !
Va dati seama ca pina la ora 21.00 domn primar model a facut un procentaj care l-ar face invidios si pe nenea Liviu Dragnea care sta conectat la internet acum la Rahova .
Cred ca s-a apropiat de 98,99 % .
Nici ai lui Liviu din Teleorman , cu experienta lor de 20 de ani de la momentul invierii mortilor care au votat si pina azi nu au obtinut astfel de procente la vot !
Mare primar aveti acolo la Sarbi !
Sa va traiasca !
